Posts

Showing posts from March 23, 2019

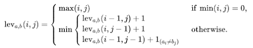
Writing bit difficult equation in latexWriting equation in LaTeX: some part are mysterious to me :)Writing...

Image
Does the expansion of the universe explain why the universe doesn't collapse? If a character has darkvision, can they see through an area of nonmagical darkness filled with lightly obscuring gas? Fear of getting stuck on one programming language / technology that is not used in my country Where did Heinlein say "Once you get to Earth orbit, you're halfway to anywhere in the Solar System"? Intuition of generalized eigenvector. Why does the Sun have different day lengths, but not the gas giants? Freedom of speech and where it applies Non-trope happy ending? 250 Floor Tower Approximating irrational number to rational ...